Официальное опубликование правовых актов
ОФИЦИАЛЬНОЕ ОПУБЛИКОВАНИЕ
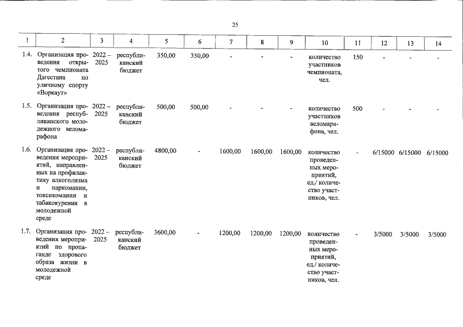
Постановление Правительства Республики Дагестан от 17.04.2023 № 138
"О внесении изменений в государственную программу Республики Дагестан "Реализация молодежной политики в Республике Дагестан"
Номер опубликования: 0500202304240011
Дата опубликования: 24.04.2023
Страница №26 из 39:
Увеличить