Официальное опубликование правовых актов
ОФИЦИАЛЬНОЕ ОПУБЛИКОВАНИЕ
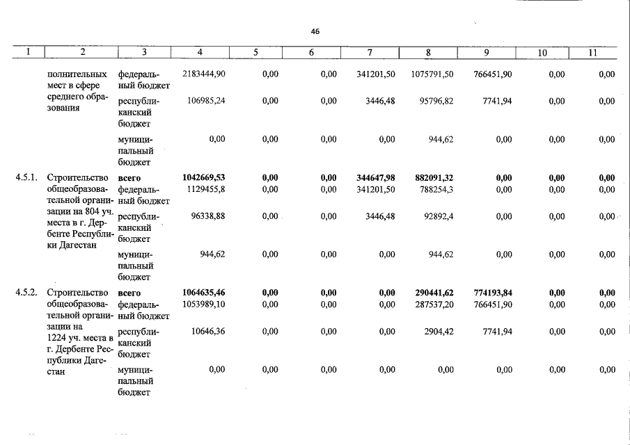
Постановление Правительства Республики Дагестан от 25.11.2022 № 412
"О внесении изменений в государственную программу Республики Дагестан "Комплексное территориальное развитие муниципального образования "городской округ "город Дербент"
Номер опубликования: 0500202212010013
Дата опубликования: 01.12.2022
Страница №47 из 64:
Увеличить