Официальное опубликование правовых актов
ОФИЦИАЛЬНОЕ ОПУБЛИКОВАНИЕ
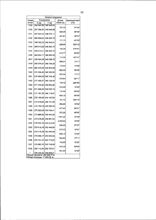
Закон Республики Дагестан от 10.06.2022 № 40
"О внесении изменений в приложение к Закону Республики Дагестан "Об утверждении границ муниципальных образований Республики Дагестан и о внесении изменений в Закон Республики Дагестан "О статусе и границах муниципальных образований Республики Дагестан"
Номер опубликования: 0500202206160016
Дата опубликования: 16.06.2022
Страница №55 из 74:
Увеличить