Официальное опубликование правовых актов
ОФИЦИАЛЬНОЕ ОПУБЛИКОВАНИЕ
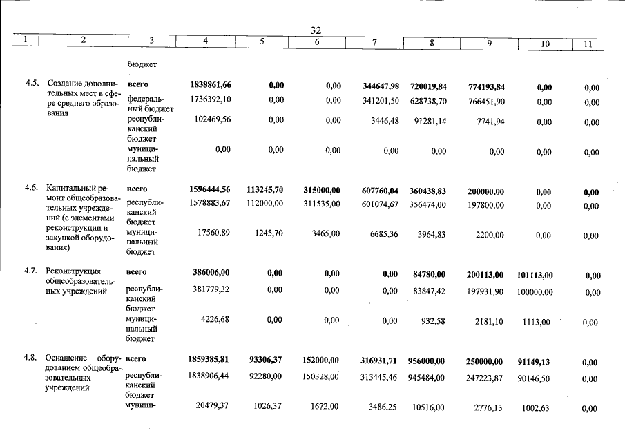
Постановление Правительства Республики Дагестан от 05.05.2022 № 114
"О внесении изменений в государственную программу Республики Дагестан "Комплексное территориальное развитие муниципального образования "городской округ "город Дербент"
Номер опубликования: 0500202205110001
Дата опубликования: 11.05.2022
Страница №33 из 51:
Увеличить