Официальное опубликование правовых актов
ОФИЦИАЛЬНОЕ ОПУБЛИКОВАНИЕ
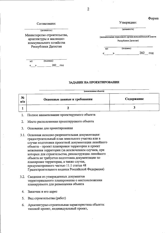
Постановление Правительства Республики Дагестан от 25.04.2022 № 95
"О внесении изменений в Положение о порядке финансирования затрат на подготовку проектной документации на объекты, строительство, расширение, реконструкция и техническое перевооружение которых предусматривается республиканскими и федеральными программами на территории Республики Дагестан"
Номер опубликования: 0500202204270014
Дата опубликования: 27.04.2022
Страница №3 из 4:
Увеличить