Официальное опубликование правовых актов
ОФИЦИАЛЬНОЕ ОПУБЛИКОВАНИЕ
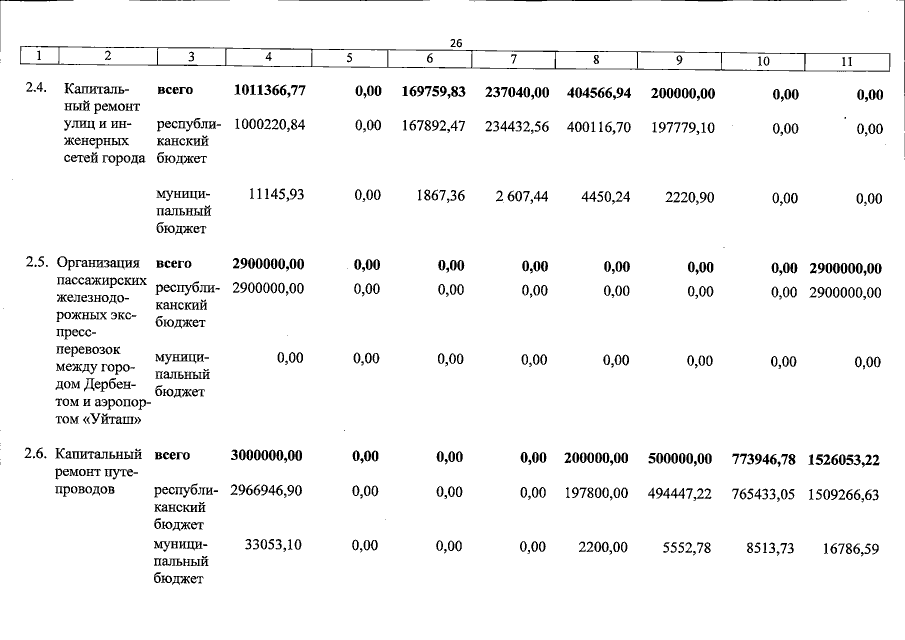
Постановление Правительства Республики Дагестан от 24.12.2021 № 351
"О внесении изменений в государственную программу Республики Дагестан "Комплексное территориальное развитие муниципального образования "городской округ "город Дербент"
Номер опубликования: 0500202112270001
Дата опубликования: 27.12.2021
Страница №27 из 53:
Увеличить