Официальное опубликование правовых актов
ОФИЦИАЛЬНОЕ ОПУБЛИКОВАНИЕ
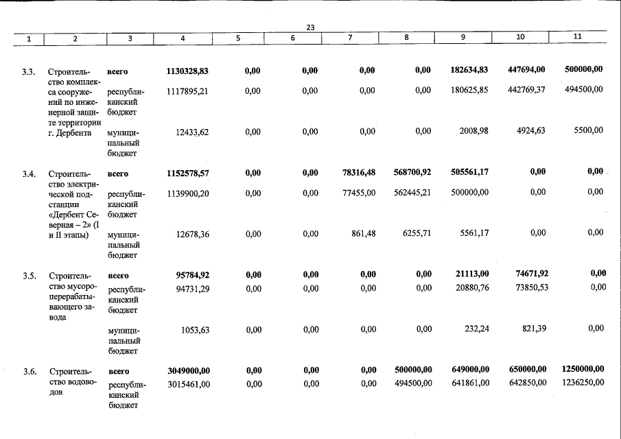
Постановление Правительства Республики Дагестан от 13.10.2021 № 281
"О внесении изменений в государственную программу Республики Дагестан "Комплексное территориальное развитие муниципального образования "городской округ "город Дербент"
Номер опубликования: 0500202110200009
Дата опубликования: 20.10.2021
Страница №24 из 66:
Увеличить