Официальное опубликование правовых актов
ОФИЦИАЛЬНОЕ ОПУБЛИКОВАНИЕ
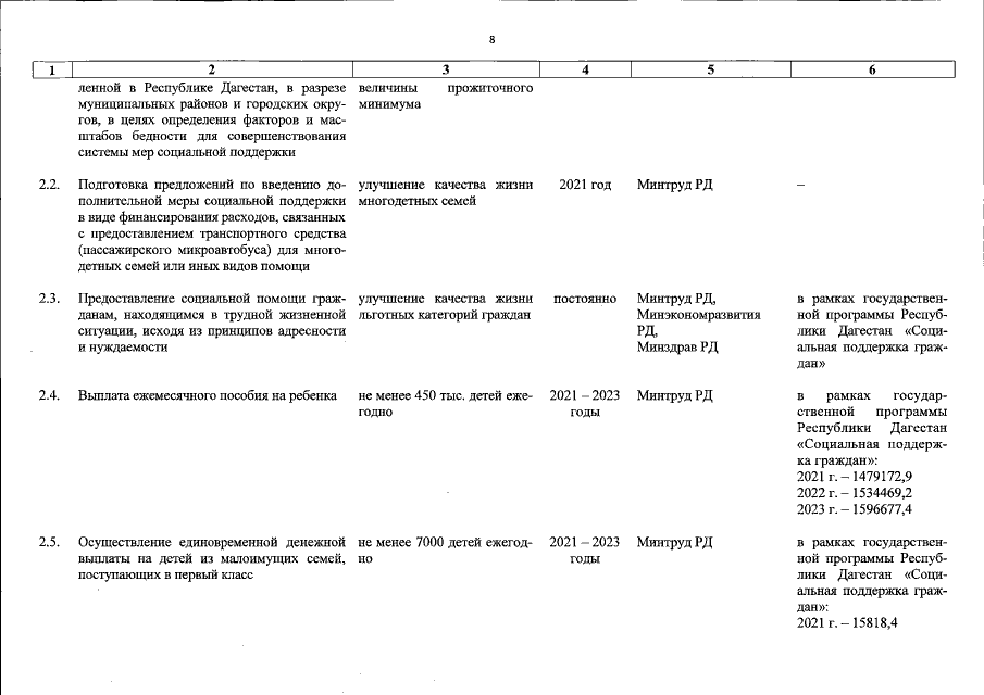
Постановление Правительства Республики Дагестан от 11.06.2021 № 139
"Об утверждении региональной программы "Снижение доли населения с доходами ниже прожиточного минимума в Республике Дагестан"
Номер опубликования: 0500202106160005
Дата опубликования: 16.06.2021
Страница №33 из 41:
Увеличить