Официальное опубликование правовых актов
ОФИЦИАЛЬНОЕ ОПУБЛИКОВАНИЕ
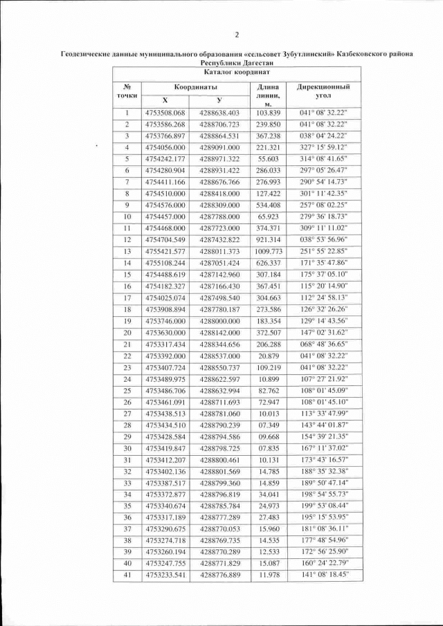
Закон Республики Дагестан от 30.04.2021 № 28
"О внесении изменений в статью 14 Закона Республики Дагестан "О статусе муниципальных образований Республики Дагестан" и приложение к Закону Республики Дагестан "Об утверждении границ муниципальных образований Республики Дагестан и о внесении изменений в Закон Республики Дагестан "О статусе и границах муниципальных образований Республики Дагестан"
Номер опубликования: 0500202105110050
Дата опубликования: 11.05.2021
Страница №4 из 17:
Увеличить