Официальное опубликование правовых актов
ОФИЦИАЛЬНОЕ ОПУБЛИКОВАНИЕ
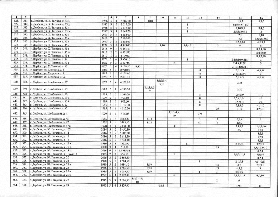
Постановление Правительства Республики Дагестан от 30.04.2021 № 97
"О внесении изменений в постановление Правительства Республики Дагестан от 18 апреля 2014 г. № 175"
Номер опубликования: 0500202105110027
Дата опубликования: 11.05.2021
Страница №24 из 95:
Увеличить