Официальное опубликование правовых актов
ОФИЦИАЛЬНОЕ ОПУБЛИКОВАНИЕ
Постановление Правительства Республики Дагестан от 26.03.2021 № 60
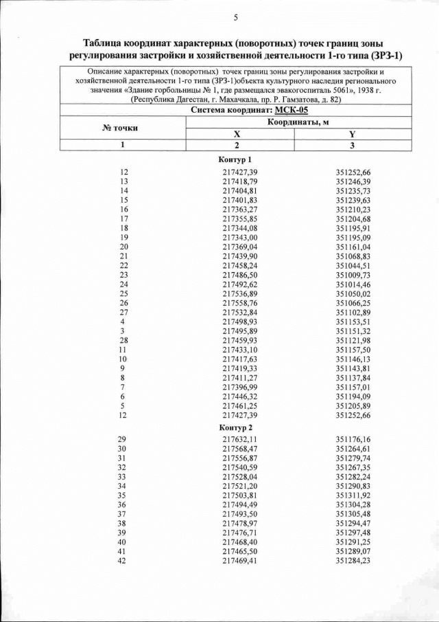
"Об утверждении границ зон охраны объекта культурного наследия регионального значения "Здание горбольницы № 1, где размещался эвакогоспиталь 5061", 1938 г. (Республика Дагестан, г. Махачкала, пр. Р. Гамзатова, д. 82) и Требований к градостроительным регламентам в границах данных зон"
Номер опубликования: 0500202104010014
Дата опубликования: 01.04.2021
Страница №7 из 16:
Увеличить