Официальное опубликование правовых актов
ОФИЦИАЛЬНОЕ ОПУБЛИКОВАНИЕ
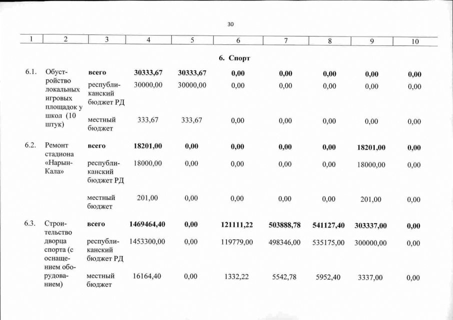
Постановление Правительства Республики Дагестан от 27.10.2020 № 228
"О внесении изменений в государственную программу Республики Дагестан "Комплексное территориальное развитие муниципального образования "городской округ "город Дербент"
Номер опубликования: 0500202010290002
Дата опубликования: 29.10.2020
Страница №31 из 58:
Увеличить