Официальное опубликование правовых актов
ОФИЦИАЛЬНОЕ ОПУБЛИКОВАНИЕ
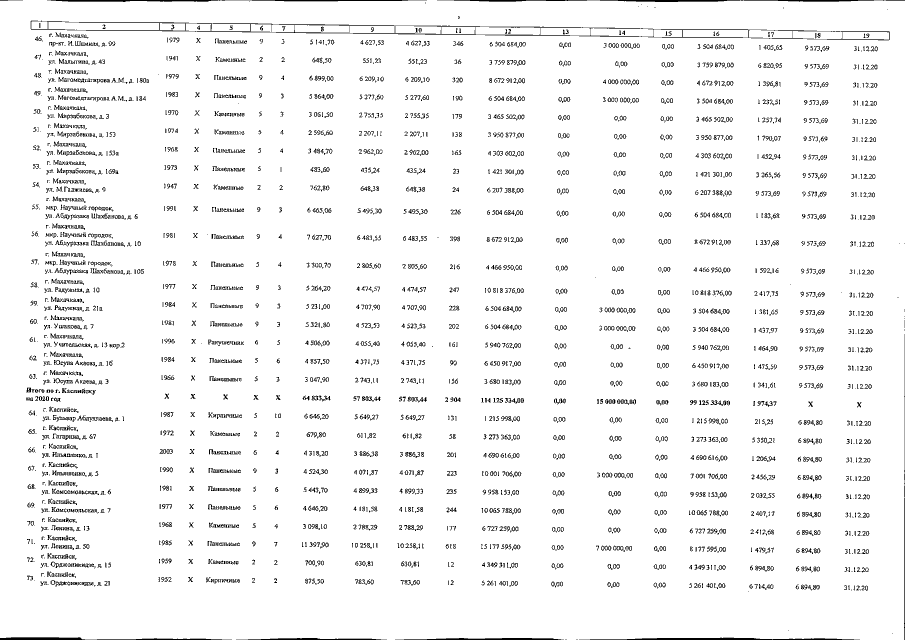
Постановление Правительства Республики Дагестан от 08.06.2020 № 112
"Об утверждении краткосрочного плана реализации в 2020-2022 годах Региональной программы по проведению капитального ремонта общего имущества в многоквартирных домах в Республике Дагестан на 2014-2040 годы"
Номер опубликования: 0500202006110003
Дата опубликования: 11.06.2020
Страница №4 из 25:
Увеличить