Постановление Правительства Республики Дагестан от 22.05.2020 № 93
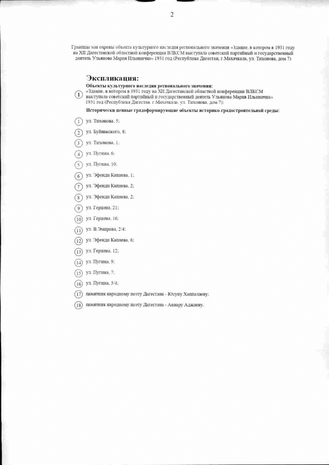
"Об установлении границ зон охраны объекта культурного наследия регионального значения "Здание, в котором в 1931 году на ХII Дагестанской областной конференции ВЛКСМ выступала советский партийный и государственный деятель Ульянова Мария Ильинична" и утверждении требований к градостроительным регламентам в границах данных зон"
"Об установлении границ зон охраны объекта культурного наследия регионального значения "Здание, в котором в 1931 году на ХII Дагестанской областной конференции ВЛКСМ выступала советский партийный и государственный деятель Ульянова Мария Ильинична" и утверждении требований к градостроительным регламентам в границах данных зон"
Номер опубликования: 0500202005280003
Дата опубликования:
28.05.2020
