Постановление Правительства Республики Дагестан от 28.01.2020 № 10
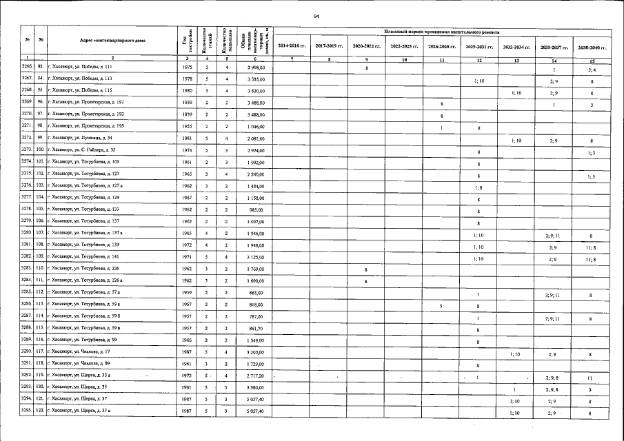
"О внесении изменений в Региональную программу по проведению капитального ремонта общего имущества в многоквартирных домах в Республике Дагестан на 2014-2040 годы"
"О внесении изменений в Региональную программу по проведению капитального ремонта общего имущества в многоквартирных домах в Республике Дагестан на 2014-2040 годы"
Номер опубликования: 0500202002030002
Дата опубликования:
03.02.2020
