Официальное опубликование правовых актов
ОФИЦИАЛЬНОЕ ОПУБЛИКОВАНИЕ
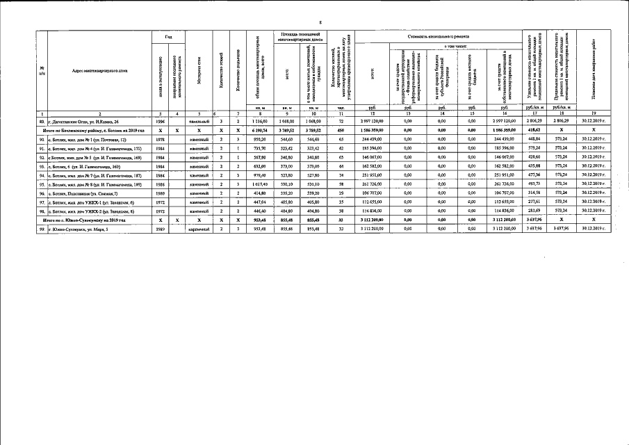
Постановление Правительства Республики Дагестан от 31.12.2019 № 347
"О внесении изменений в приложение № 1 к постановлению Правительства Республики Дагестан от 15 февраля 2017 г. № 32"
Номер опубликования: 0500202001100009
Дата опубликования: 10.01.2020
Страница №9 из 16:
Увеличить