Официальное опубликование правовых актов
ОФИЦИАЛЬНОЕ ОПУБЛИКОВАНИЕ
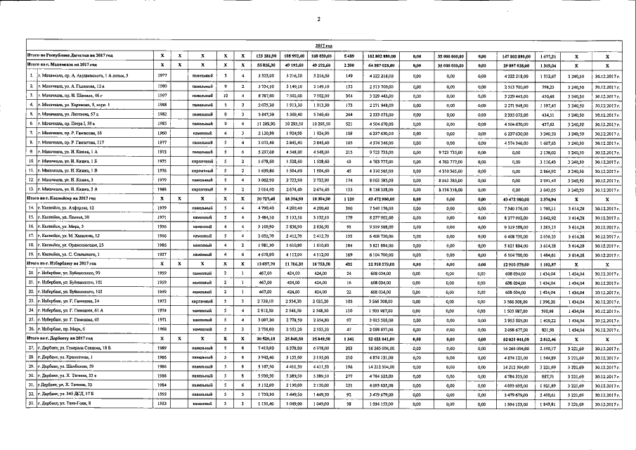
Постановление Правительства Республики Дагестан от 22.08.2019 № 204
"О внесении изменений в приложение № 1 к постановлению Правительства Республики Дагестан от 15 февраля 2017 г. № 32"
Номер опубликования: 0500201908270001
Дата опубликования: 27.08.2019
Страница №3 из 14:
Увеличить