Официальное опубликование правовых актов
ОФИЦИАЛЬНОЕ ОПУБЛИКОВАНИЕ
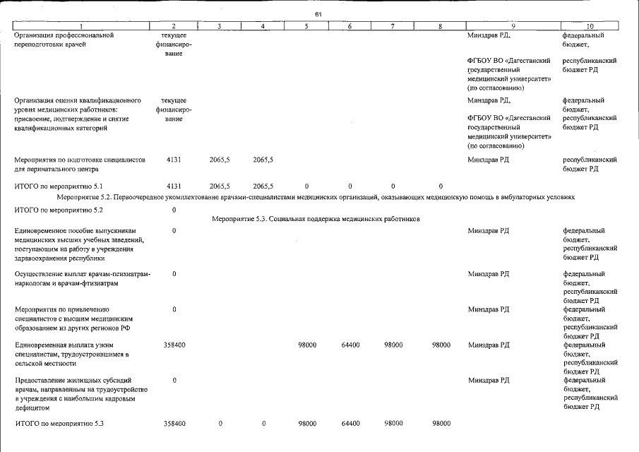
Постановление Правительства Республики Дагестан от 03.08.2018 № 108
"О внесении изменений в государственную программу Республики Дагестан "Развитие здравоохранения в Республике Дагестан на 2015-2020 годы"
Номер опубликования: 0500201808080003
Дата опубликования: 08.08.2018
Страница №62 из 66:
Увеличить