Официальное опубликование правовых актов
ОФИЦИАЛЬНОЕ ОПУБЛИКОВАНИЕ
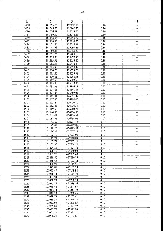
Закон Республики Дагестан от 06.07.2018 № 37
"О внесении изменений в приложение к Закону Республики Дагестан "Об утверждении границ муниципальных образований Республики Дагестан и о внесении изменений в Закон Республики Дагестан "О статусе и границах муниципальных образований Республики Дагестан"
Номер опубликования: 0500201807090001
Дата опубликования: 09.07.2018
Страница №27 из 59:
Увеличить