Официальное опубликование правовых актов
ОФИЦИАЛЬНОЕ ОПУБЛИКОВАНИЕ
Постановление Правительства Республики Дагестан от 15.02.2017 № 32
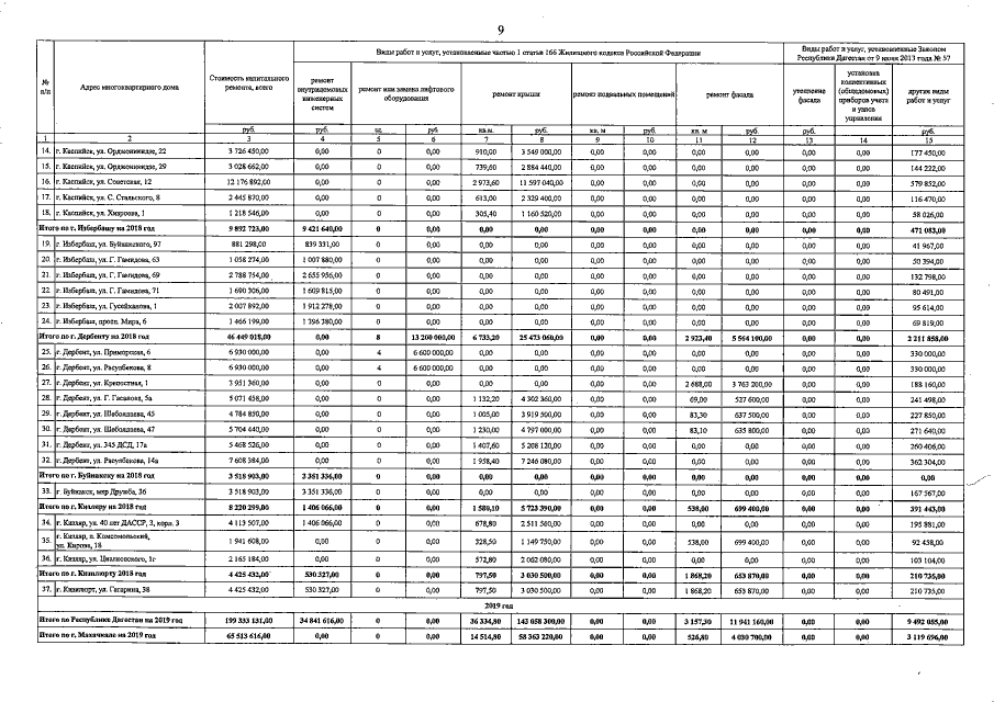
"О реализации Региональной программы по проведению капитального ремонта общего имущества в многоквартирных домах в Республике Дагестан на 2014-2040 годы в 2017-2019 годах"
Номер опубликования: 0500201702160010
Дата опубликования: 16.02.2017
Страница №10 из 13:
Увеличить