Официальное опубликование правовых актов
ОФИЦИАЛЬНОЕ ОПУБЛИКОВАНИЕ
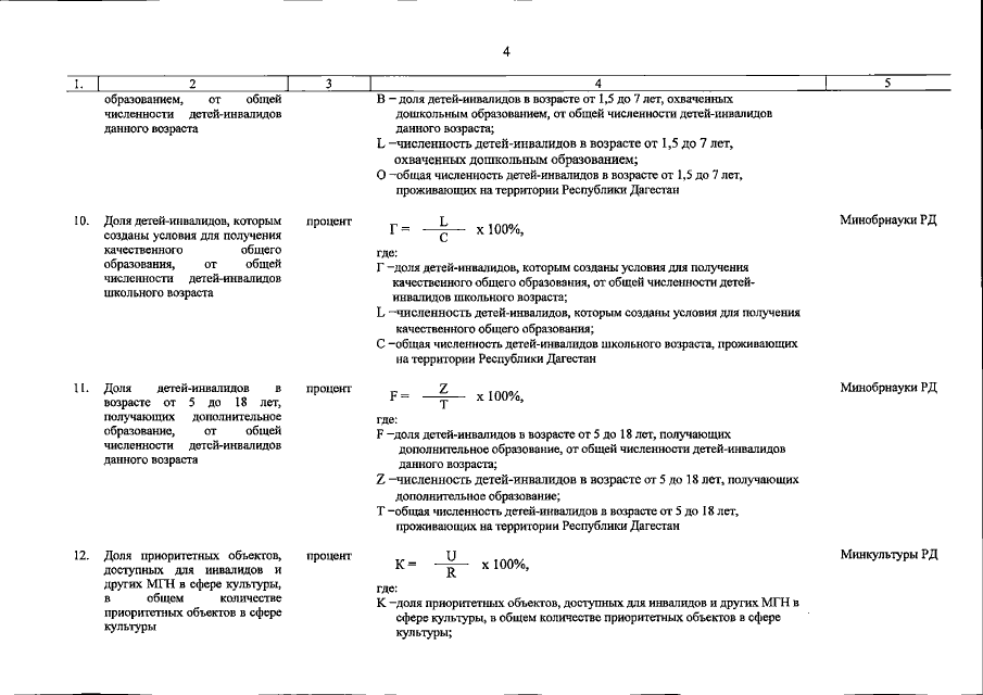
Постановление Правительства Республики Дагестан от 28.03.2016 № 65
"Об утверждении государственной программы Республики Дагестан "Доступная среда" на 2016-2018 годы"
Номер опубликования: 0500201604010008
Дата опубликования: 01.04.2016
Страница №36 из 54:
Увеличить