Официальное опубликование правовых актов
ОФИЦИАЛЬНОЕ ОПУБЛИКОВАНИЕ
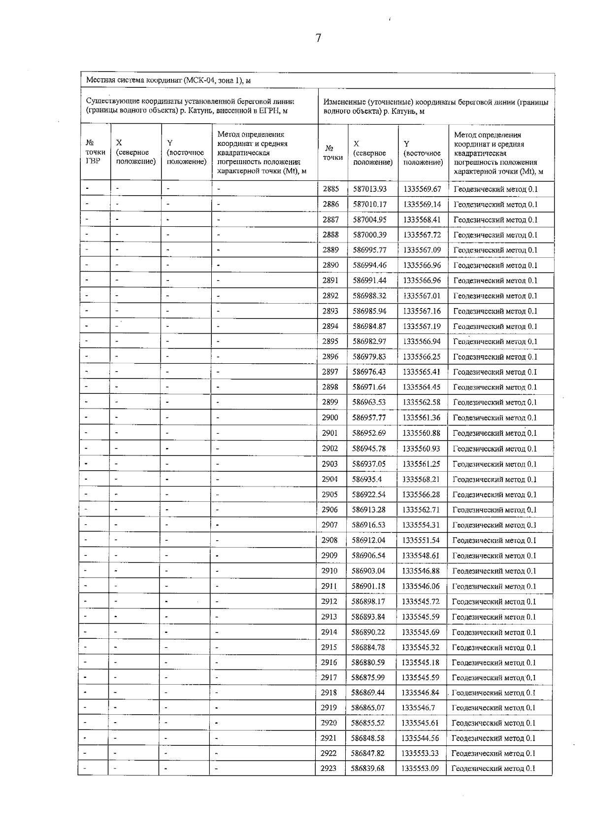
Приказ Министерства природных ресурсов и экологии Республики Алтай от 19.12.2025 № П-03-01/66
"О внесении изменений в приказ Министерства природных ресурсов, экологии и туризма Республики Алтай от 9 августа 2022 г. № 548"
(Зарегистрирован 19.12.2025 № 866)
Номер опубликования: 0401202512220005
Дата опубликования: 22.12.2025
Страница №7 из 22:
Увеличить