Официальное опубликование правовых актов
ОФИЦИАЛЬНОЕ ОПУБЛИКОВАНИЕ
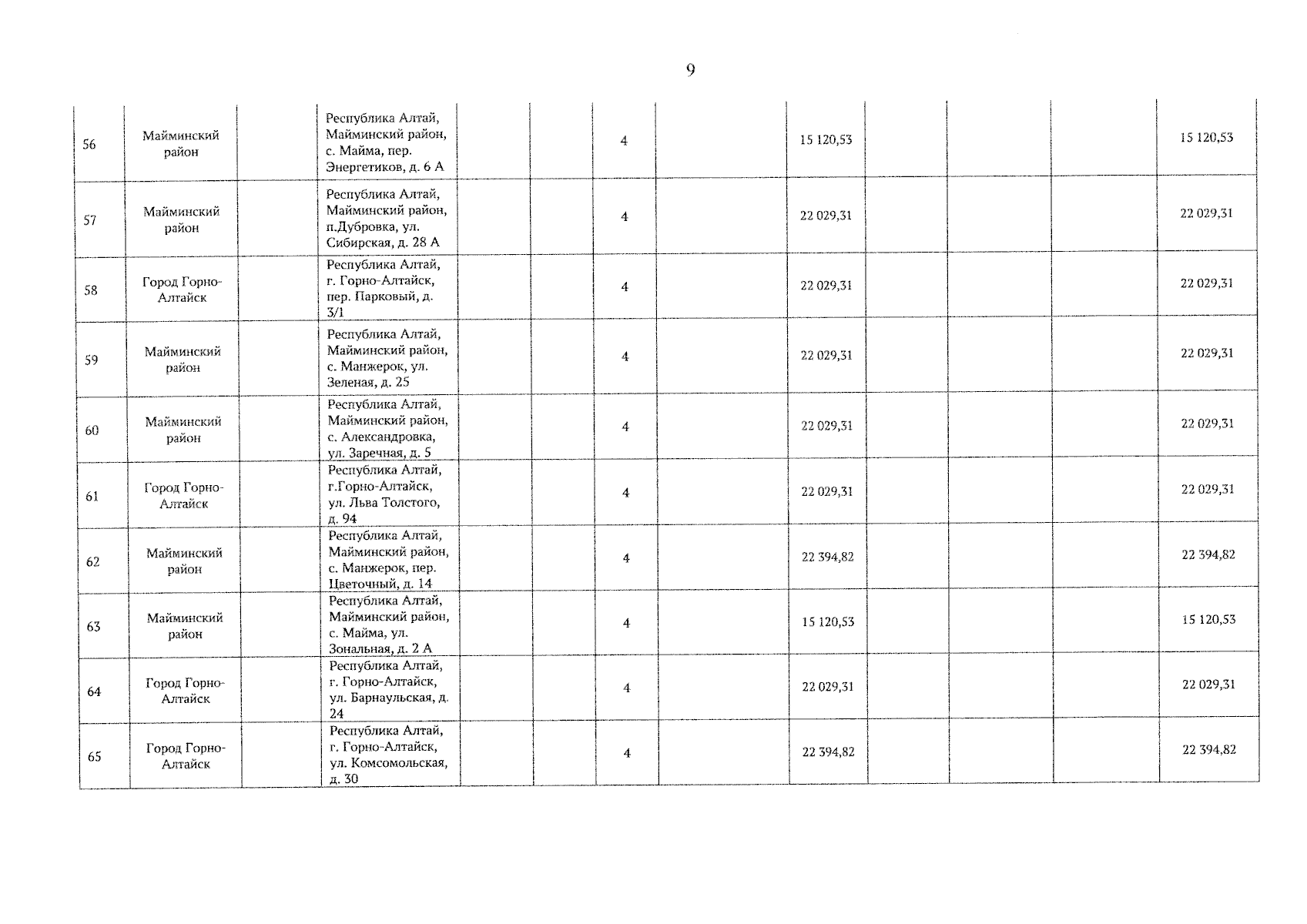
Приказ Министерства строительства и жилищно-коммунального хозяйства Республики Алтай от 01.10.2025 № П-07-01/423
"О внесении изменений в приложение к приказу Министерства строительства и жилищно-коммунального хозяйства Республики Алтай от 21 августа 2025 г. № П-07-01/377"
(Зарегистрирован 02.10.2025 № 587)
Номер опубликования: 0401202510020021
Дата опубликования: 02.10.2025
Страница №9 из 37:
Увеличить