Официальное опубликование правовых актов
ОФИЦИАЛЬНОЕ ОПУБЛИКОВАНИЕ
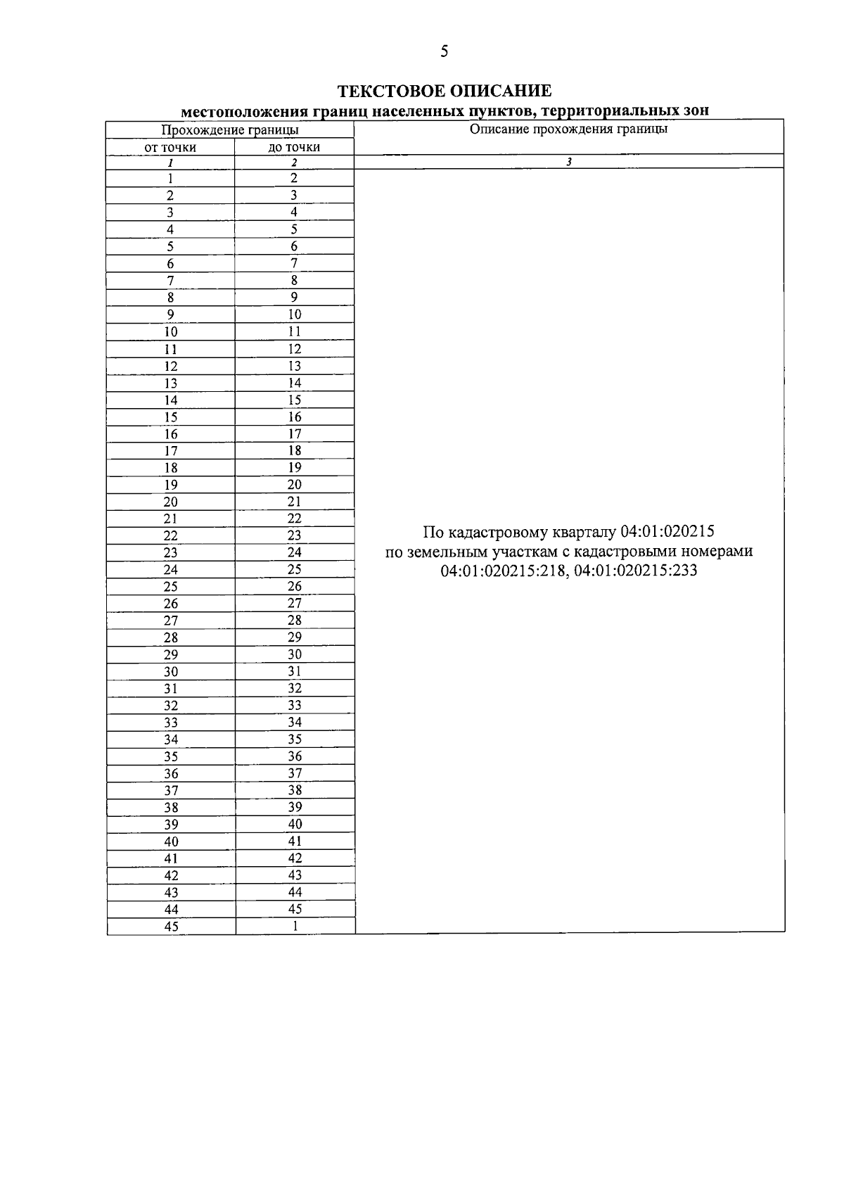
Приказ Министерства природных ресурсов и экологии Республики Алтай от 11.03.2025 № П-03-01/0016
"Об установлении зоны санитарной охраны водозаборного сооружения на территории туристической базы "Паритет", расположенной в 1,5 км севернее с. Известковый в Майминскм районе Республики Алтай (скважина 331/22)"
(Зарегистрирован 11.03.2025 № 0187)
Номер опубликования: 0401202503120003
Дата опубликования: 12.03.2025
Страница №5 из 16:
Увеличить