Официальное опубликование правовых актов
ОФИЦИАЛЬНОЕ ОПУБЛИКОВАНИЕ
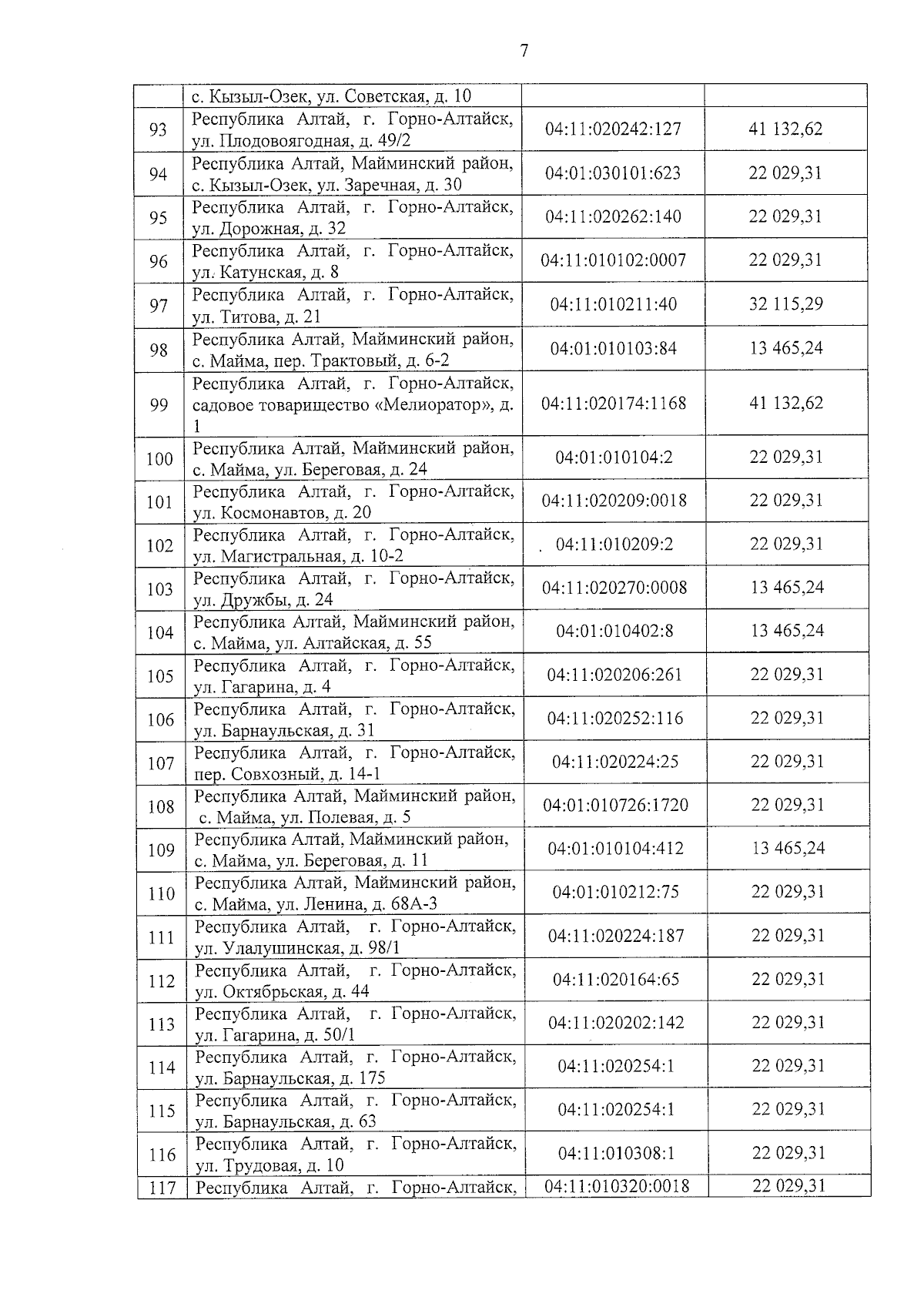
Приказ Комитета по тарифам Республики Алтай от 07.11.2024 № П-15-01/0146
"Об утверждении размера экономически обоснованных расходов АО "Газпром газораспределение" на территории Республики Алтай на выполнение мероприятий по подключению (технологическому присоединению) газоиспользующего оборудования физических лиц, осуществляемых без взимания с них средств, на территории Республики Алтай за 3 квартал 2024 года"
(Зарегистрирован 07.11.2024 № 0503)
Номер опубликования: 0401202411080003
Дата опубликования: 08.11.2024
Страница №7 из 12:
Увеличить