Официальное опубликование правовых актов
ОФИЦИАЛЬНОЕ ОПУБЛИКОВАНИЕ
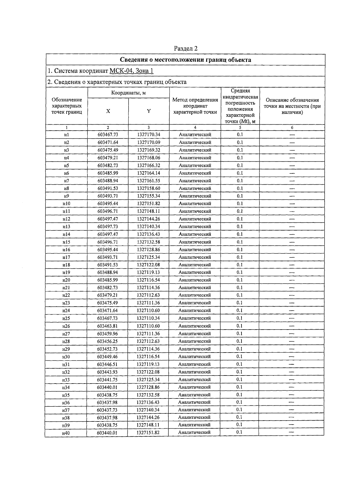
Приказ Министерства природных ресурсов и экологии Республики Алтай от 24.01.2024 № 18
"Об установлении зоны санитарной охраны на водозаборную скважину б/н (23) в районе с. Чепош Чемальского района Республики Алтай"
Номер опубликования: 0401202401250003
Дата опубликования: 25.01.2024
Страница №3 из 12:
Увеличить