Официальное опубликование правовых актов
ОФИЦИАЛЬНОЕ ОПУБЛИКОВАНИЕ
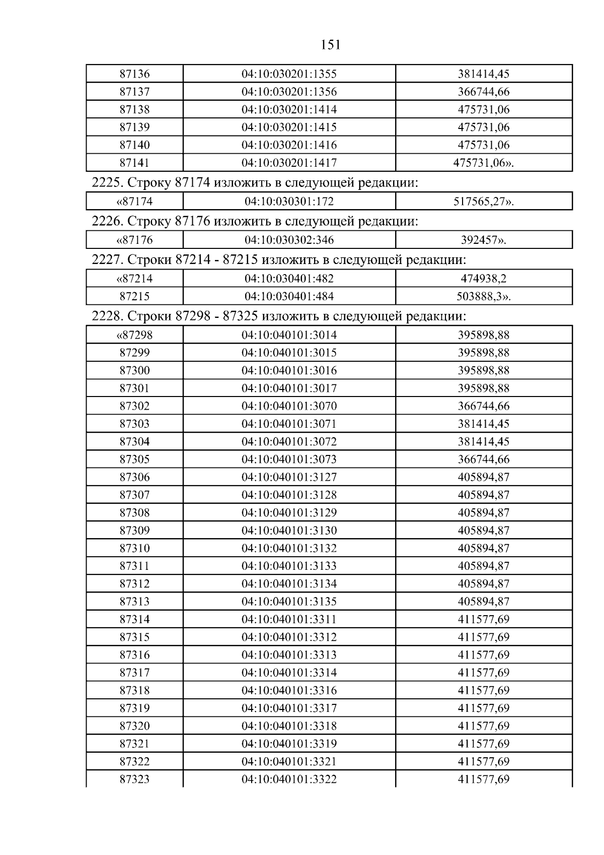
Приказ Министерства экономического развития Республики Алтай от 27.10.2023 № 408-ОД
"О внесении изменений в результаты определения кадастровой стоимости всех учтенных в Едином государственном реестре недвижимости зданий, помещений, сооружений, объектов незавершенного строительства, машино-мест на территории Республики Алтай по состоянию на 1 января 2023 г."
Номер опубликования: 0401202310270001
Дата опубликования: 27.10.2023
Страница №151 из 193:
Увеличить