Официальное опубликование правовых актов
ОФИЦИАЛЬНОЕ ОПУБЛИКОВАНИЕ
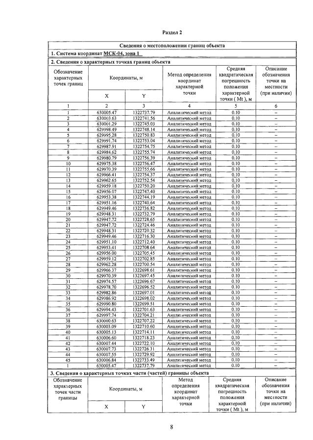
Приказ Министерства природных ресурсов и экологии Республики Алтай от 17.03.2023 № 176
"Об установлении зоны санитарной охраны на водозаборное сооружение скважина Г16/04 в с. Озерное, пер. Новосибирский, 1, Майминского района, Республики Алтай"
Номер опубликования: 0401202303220002
Дата опубликования: 22.03.2023
Страница №8 из 20:
Увеличить