Официальное опубликование правовых актов
ОФИЦИАЛЬНОЕ ОПУБЛИКОВАНИЕ
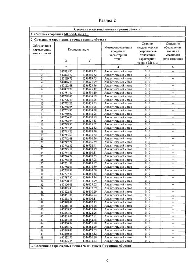
Приказ Министерства природных ресурсов и экологии Республики Алтай от 13.03.2023 № 159
"Об установлении зоны санитарной охраны на водозабор (скважины Г1/08; Г13/08) расположенный в с. Алфёрово, Майминского района, Республики Алтай"
Номер опубликования: 0401202303140002
Дата опубликования: 14.03.2023
Страница №9 из 21:
Увеличить