Официальное опубликование правовых актов
ОФИЦИАЛЬНОЕ ОПУБЛИКОВАНИЕ
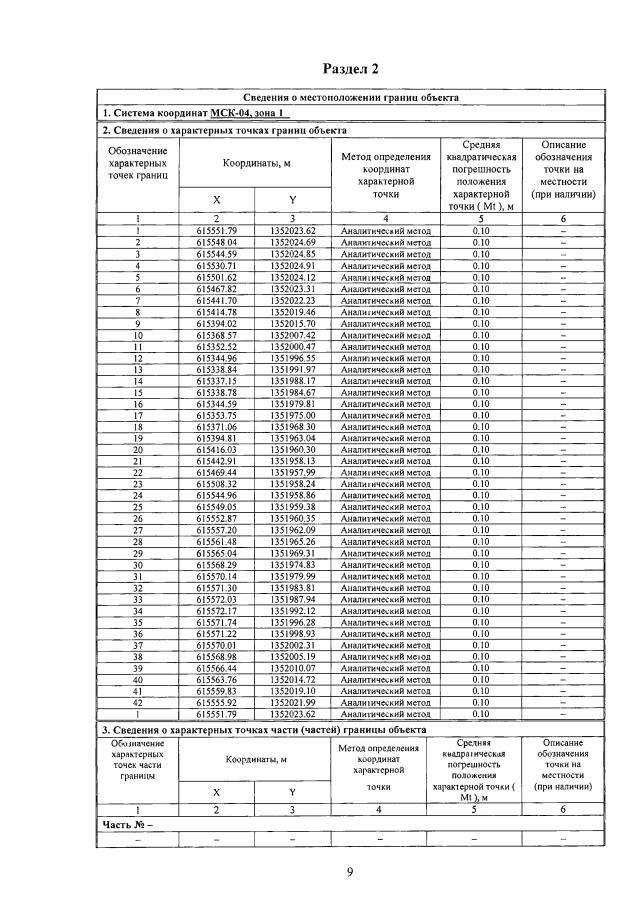
Приказ Министерства природных ресурсов и экологии Республики Алтай от 13.03.2023 № 160
"Об установлении зоны санитарной охраны на водозаборное сооружение (скважина БС-6-2006) в с. Урлу-Аспак, ул. Лесхозная 13, Майминского района, Республики Алтай"
Номер опубликования: 0401202303140001
Дата опубликования: 14.03.2023
Страница №9 из 20:
Увеличить