Официальное опубликование правовых актов
ОФИЦИАЛЬНОЕ ОПУБЛИКОВАНИЕ
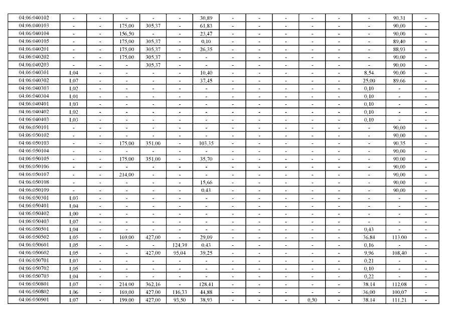
Приказ Министерства экономического развития Республики Алтай от 26.12.2022 № 391-ОД
"Об утверждении среднего уровня кадастровой стоимости земельных участков по муниципальному району (городскому округу) в Республике Алтай"
Номер опубликования: 0401202212270003
Дата опубликования: 27.12.2022
Страница №28 из 57:
Увеличить