Официальное опубликование правовых актов
ОФИЦИАЛЬНОЕ ОПУБЛИКОВАНИЕ
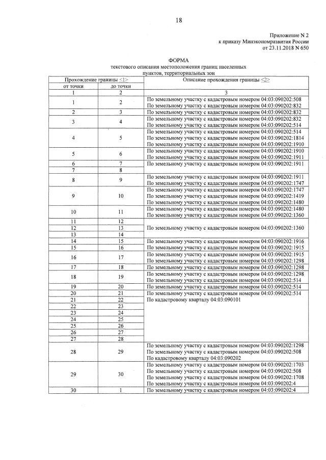
Приказ Министерства природных ресурсов, экологии и туризма Республики Алтай от 30.11.2022 № 819
"Об установлении зоны санитарной охраны на водозаборное сооружение (скважина б/н (22)) в 5 км восточнее с. Артыбаш Турочакского района Республики Алтай"
Номер опубликования: 0401202212010009
Дата опубликования: 01.12.2022
Страница №18 из 20:
Увеличить