Официальное опубликование правовых актов
ОФИЦИАЛЬНОЕ ОПУБЛИКОВАНИЕ
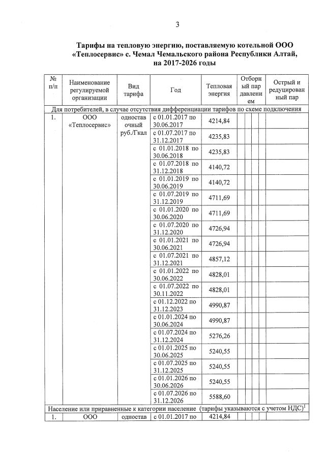
Приказ Комитета по тарифам Республики Алтай от 16.11.2022 № 34/13
"О корректировке тарифов на тепловую энергию, поставляемую котельной ООО "Теплосервис" с. Чемал Чемальского района Республики Алтай, на 2023 год и внесении изменений в приказ Комитета по тарифам Республики Алтай от 11 декабря 2017 г. № 49/7"
Номер опубликования: 0401202211180022
Дата опубликования: 18.11.2022
Страница №3 из 4:
Увеличить