Официальное опубликование правовых актов
ОФИЦИАЛЬНОЕ ОПУБЛИКОВАНИЕ
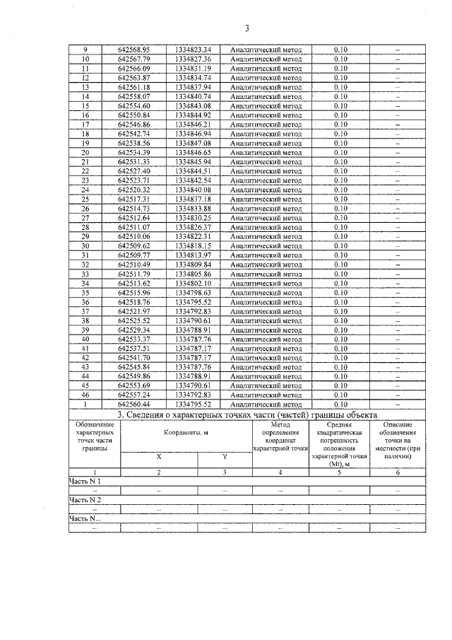
Приказ Министерства природных ресурсов, экологии и туризма Республики Алтай от 15.11.2022 № 770
"Об установлении зоны санитарной охраны на водозабор, эксплуатируемый Горно-Алтайским государственным университетом (скважина №Г4/92), расположенный по переулку Университетскому, 17 (агробиостанция ГАГУ) в городе Горно-Алтайске Республики Алтай"
Номер опубликования: 0401202211180012
Дата опубликования: 18.11.2022
Страница №3 из 18:
Увеличить