Официальное опубликование правовых актов
ОФИЦИАЛЬНОЕ ОПУБЛИКОВАНИЕ
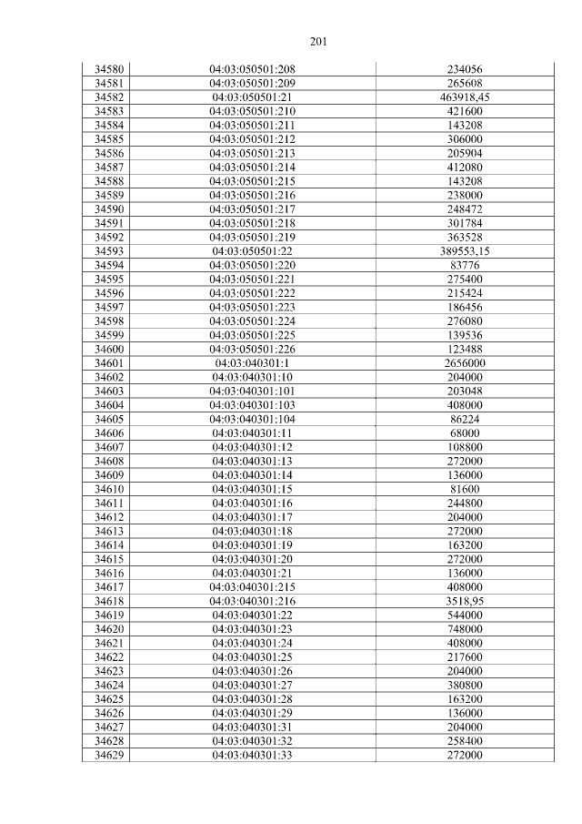
Приказ Министерства экономического развития Республики Алтай от 11.11.2022 № 328-ОД
"О внесении изменений в результаты определения кадастровой стоимости всех учтенных в Едином государственном реестре недвижимости на территории Республики Алтай земельных участков по состоянию на 1 января 2022 года"
Номер опубликования: 0401202211180004
Дата опубликования: 18.11.2022
Страница №201 из 3253:
Увеличить