Официальное опубликование правовых актов
ОФИЦИАЛЬНОЕ ОПУБЛИКОВАНИЕ
Приказ Министерства природных ресурсов, экологии и туризма Республики Алтай от 17.06.2022 № 397
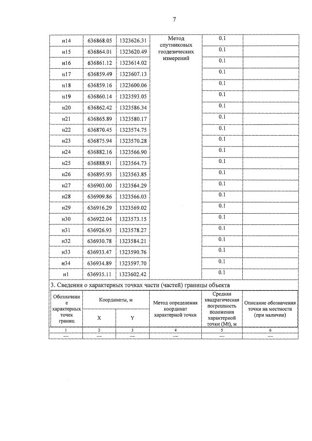
"Об установлении зоны санитарной охраны на одиночный водозабор (скважина №Г10/01), расположенный в 1,9 км на запад от села Соузга Майминского района Республики Алтай"
Номер опубликования: 0401202206200003
Дата опубликования: 20.06.2022
Страница №7 из 16:
Увеличить