Официальное опубликование правовых актов
ОФИЦИАЛЬНОЕ ОПУБЛИКОВАНИЕ
Приказ Министерства природных ресурсов, экологии и туризма Республики Алтай от 20.04.2022 № 254
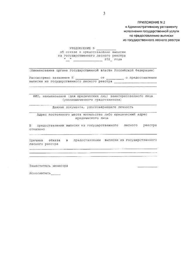
"О внесении изменений в Административный регламент предоставления государственной услуги "Предоставление выписки из государственного лесного реестра", утвержденный приказом Министерства природных ресурсов, экологии и туризма Республики Алтай от 14 января 2022 г. № 22"
Номер опубликования: 0401202204220001
Дата опубликования: 22.04.2022
Страница №3 из 6:
Увеличить