Официальное опубликование правовых актов
ОФИЦИАЛЬНОЕ ОПУБЛИКОВАНИЕ
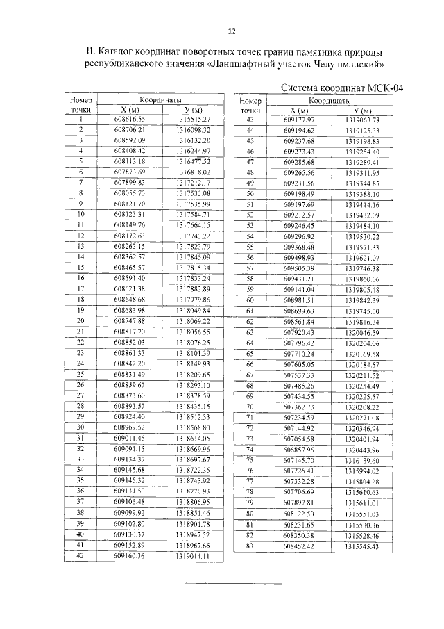
Приказ Министерства природных ресурсов, экологии и туризма Республики Алтай от 11.02.2022 № 86
"Об утверждении Положения и границ памятника природы республиканского значения "Ландшафтный участок Шишкулар – Катаил - Чистый Луг"
Номер опубликования: 0401202202150002
Дата опубликования: 15.02.2022
Страница №12 из 12:
Увеличить