Официальное опубликование правовых актов
ОФИЦИАЛЬНОЕ ОПУБЛИКОВАНИЕ
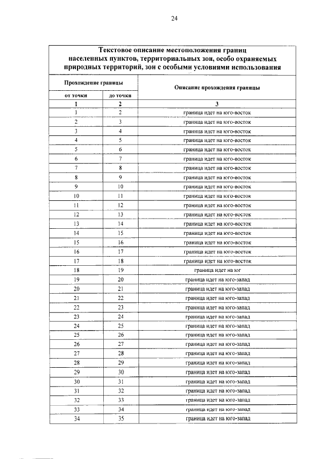
Приказ Министерства природных ресурсов, экологии и туризма Республики Алтай от 10.02.2022 № 82
"Об установлении зоны санитарной охраны на водозаборное сооружение в селе Узнезя Чемальского района Республики Алтай (скважина Г20/01, улица Новые Черемушки, 13а)"
Номер опубликования: 0401202202110001
Дата опубликования: 11.02.2022
Страница №24 из 27:
Увеличить