Официальное опубликование правовых актов
ОФИЦИАЛЬНОЕ ОПУБЛИКОВАНИЕ
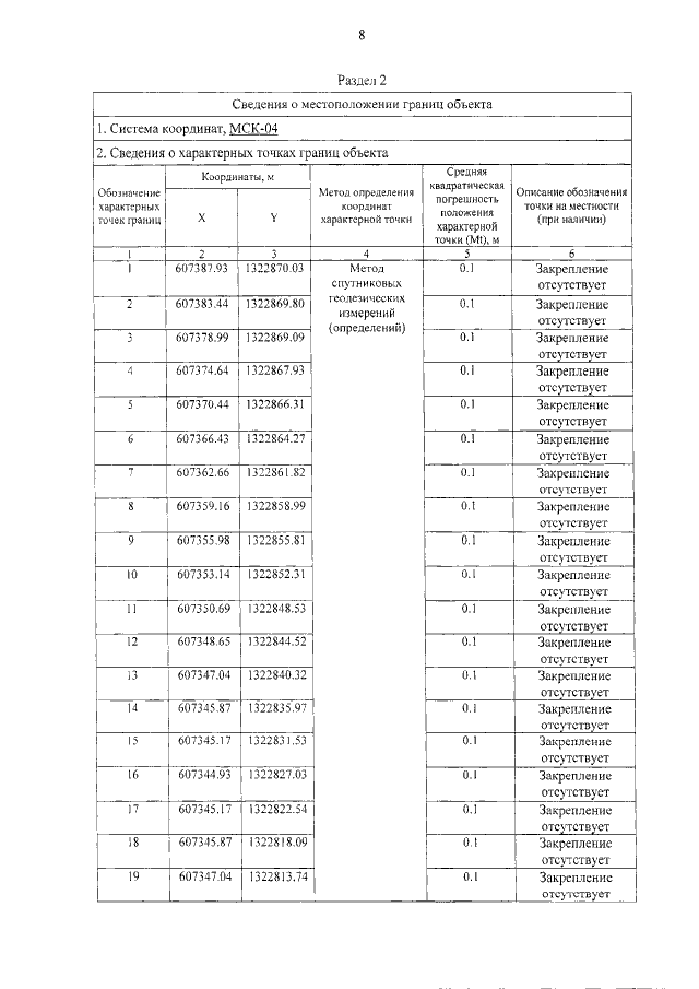
Приказ Министерства природных ресурсов, экологии и туризма Республики Алтай от 17.01.2022 № 30
"Об установлении зоны санитарной охраны на водозаборное сооружение (скважина б/н (1/2021) в районе села Чепош Чемальского района Республики Алтай на территории Общества с ограниченной ответственностью "Теплый стан"
Номер опубликования: 0401202201210004
Дата опубликования: 21.01.2022
Страница №8 из 21:
Увеличить