Официальное опубликование правовых актов
ОФИЦИАЛЬНОЕ ОПУБЛИКОВАНИЕ
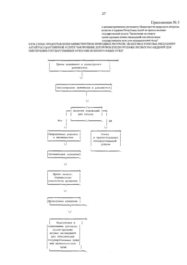
Приказ Министерства природных ресурсов, экологии и туризма Республики Алтай от 14.01.2022 № 19
"Об утверждении Административного регламента "Предоставление права заготовки древесины и подготовке проекта договора купли-продажи лесных насаждений для собственных нужд"
Номер опубликования: 0401202201200009
Дата опубликования: 20.01.2022
Страница №27 из 27:
Увеличить