Официальное опубликование правовых актов
ОФИЦИАЛЬНОЕ ОПУБЛИКОВАНИЕ
Приказ Министерства природных ресурсов, экологии и туризма Республики Алтай от 12.01.2022 № 11
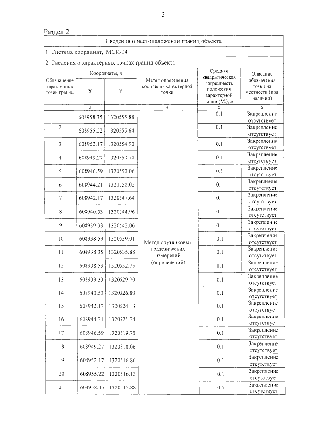
"Об установлении зоны санитарной охраны на водозаборное сооружение (скважина б/н (1/2020), расположенное в Шебалинском районе, в 1 км на юг от села Усть-Сема, на территории Общества с ограниченной ответственностью "Теплый стан"
Номер опубликования: 0401202201140002
Дата опубликования: 14.01.2022
Страница №3 из 21:
Увеличить