Официальное опубликование правовых актов
ОФИЦИАЛЬНОЕ ОПУБЛИКОВАНИЕ
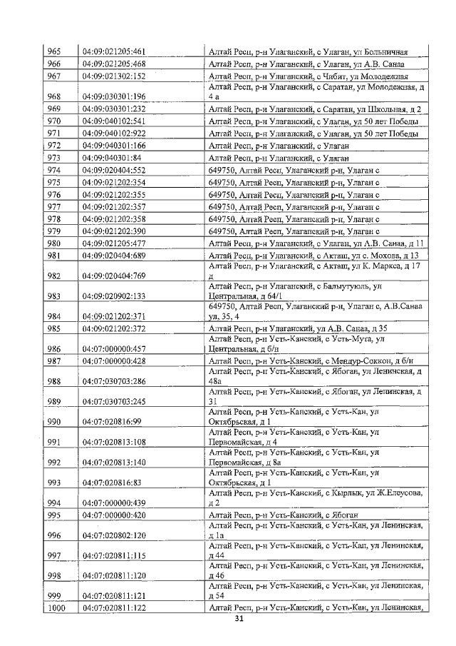
Приказ Министерства экономического развития Республики Алтай от 28.12.2020 № 302-ОД
"Об определении перечня объектов недвижимого имущества, указанных в подпунктах 1 и 2 пункта 1 статьи 378.2 Налогового кодекса Российской Федерации, в отношении которых налоговая база определяется как кадастровая стоимость, на 2021 год"
Номер опубликования: 0401202012290009
Дата опубликования: 29.12.2020
Страница №31 из 92:
Увеличить