Приказ Министерства труда, социального развития и занятости населения Республики Алтай от 19.11.2020 № П/458
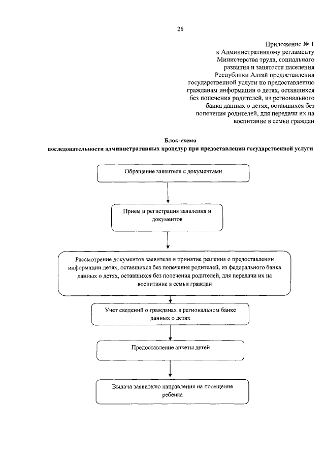
"Об утверждении Административного регламента Министерства труда, социального развития и занятости населения Республики Алтай предоставления государственной услуги по предоставлению гражданам информации о детях, оставшихся без попечения родителей, из регионального банка данных о детях, оставшихся без попечения родителей, для передачи их на воспитание в семьи граждан и признании утратившими силу некоторых приказов Министерства труда, социального развития и занятости населения Республики Алтай"
"Об утверждении Административного регламента Министерства труда, социального развития и занятости населения Республики Алтай предоставления государственной услуги по предоставлению гражданам информации о детях, оставшихся без попечения родителей, из регионального банка данных о детях, оставшихся без попечения родителей, для передачи их на воспитание в семьи граждан и признании утратившими силу некоторых приказов Министерства труда, социального развития и занятости населения Республики Алтай"
Номер опубликования: 0401202011200005
Дата опубликования:
20.11.2020
