Официальное опубликование правовых актов
ОФИЦИАЛЬНОЕ ОПУБЛИКОВАНИЕ
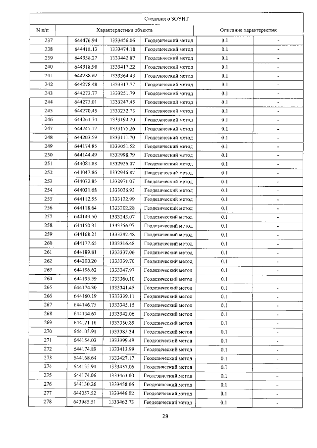
Приказ Министерства природных ресурсов, экологии и туризма Республики Алтай от 02.04.2019 № 285
"Об утверждении границ лесопаркового зеленого пояса города Горно-Алтайска"
Номер опубликования: 0401201904040009
Дата опубликования: 04.04.2019
Страница №29 из 43:
Увеличить