Официальное опубликование правовых актов
ОФИЦИАЛЬНОЕ ОПУБЛИКОВАНИЕ
Постановление Правительства Республики Алтай от 24.06.2025 № 178
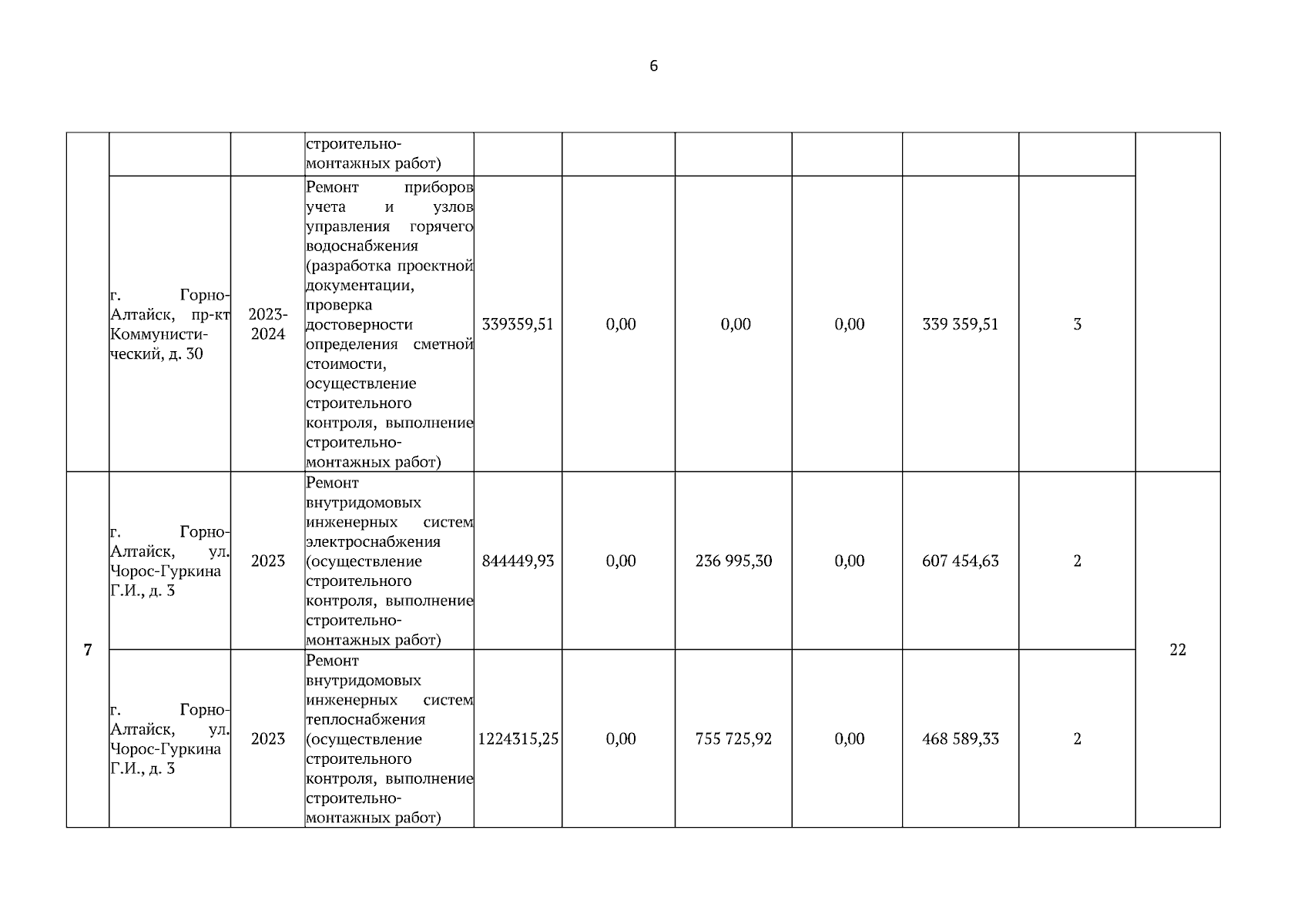
"О внесении изменения в краткосрочный план реализации региональной программы "Проведение капитального ремонта общего имущества в многоквартирных домах на территории Республики Алтай на 2014-2043 годы" на 2023-2025 годы", утвержденный постановлением Правительства Республики Алтай от 8 декабря 2022 г. № 415"
Номер опубликования: 0400202506250002
Дата опубликования: 25.06.2025
Страница №6 из 270:
Увеличить