Официальное опубликование правовых актов
ОФИЦИАЛЬНОЕ ОПУБЛИКОВАНИЕ
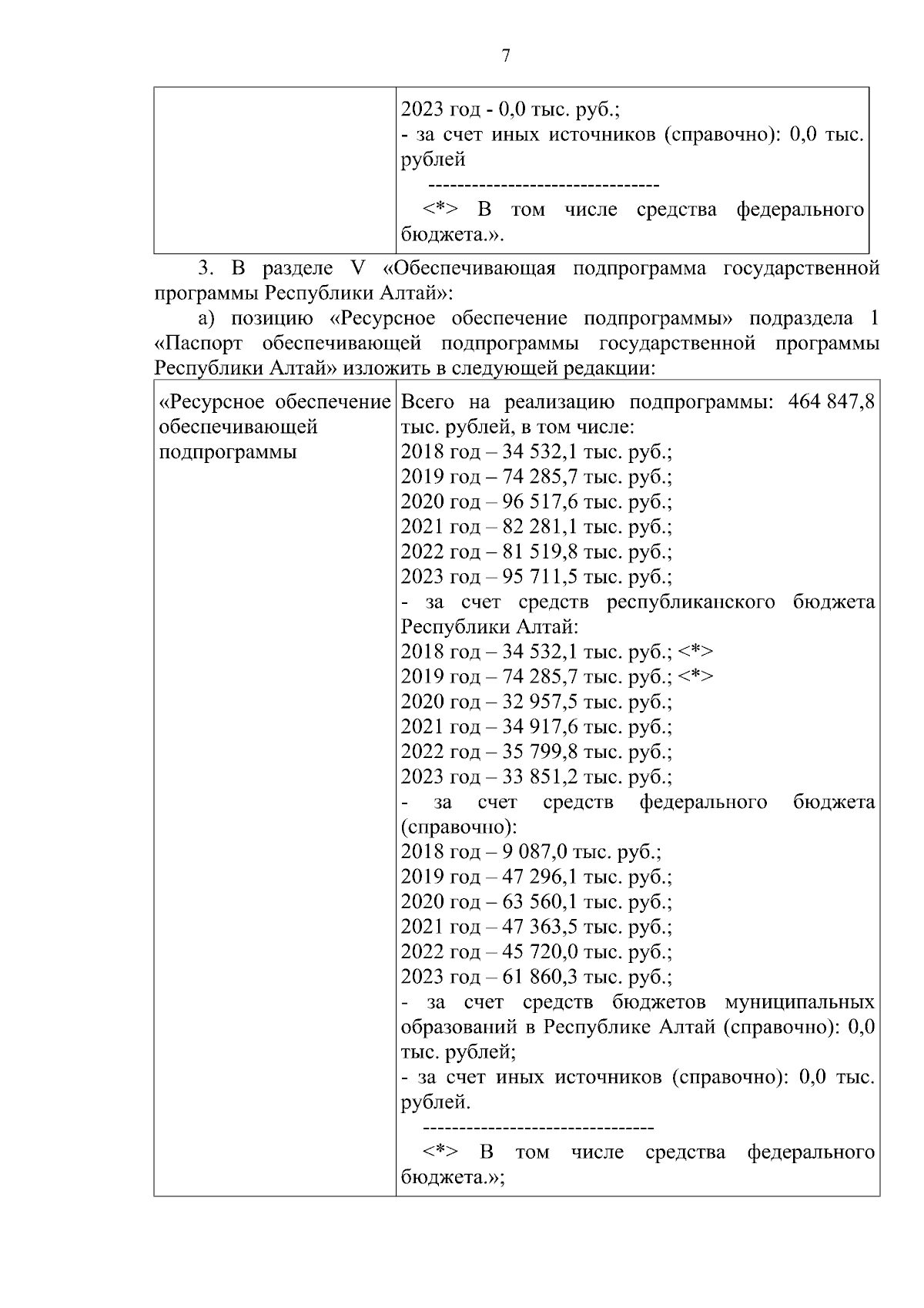
Постановление Правительства Республики Алтай от 28.12.2023 № 519
"О внесении изменений в государственную программу Республики Алтай "Обеспечение экологической безопасности и улучшение состояния окружающей среды"
Номер опубликования: 0400202312290016
Дата опубликования: 29.12.2023
Страница №7 из 29:
Увеличить