Официальное опубликование правовых актов
ОФИЦИАЛЬНОЕ ОПУБЛИКОВАНИЕ
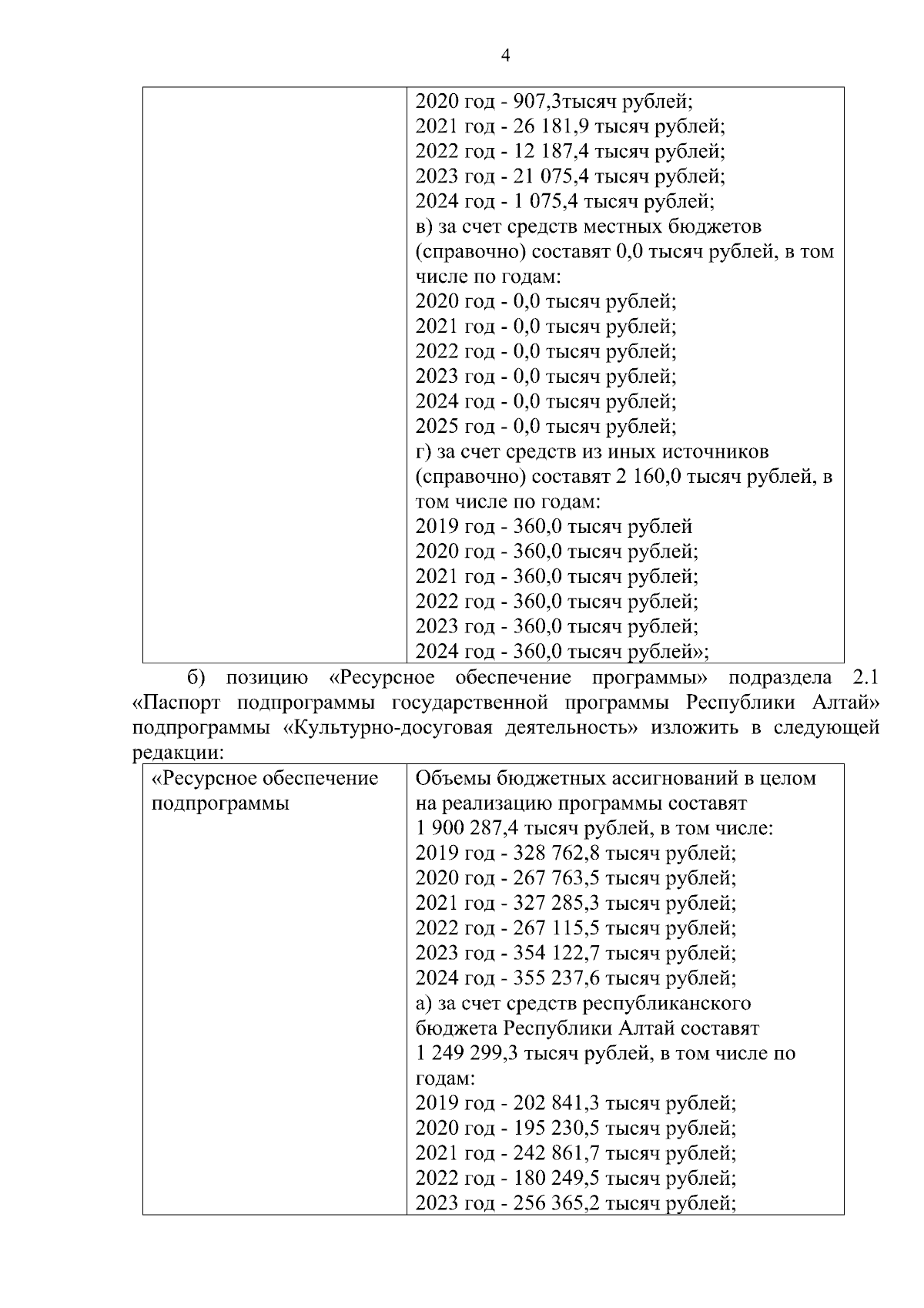
Постановление Правительства Республики Алтай от 28.12.2023 № 522
"О внесении изменений в государственную программу Республики Алтай "Развитие культуры"
Номер опубликования: 0400202312290013
Дата опубликования: 29.12.2023
Страница №4 из 21:
Увеличить