Официальное опубликование правовых актов
ОФИЦИАЛЬНОЕ ОПУБЛИКОВАНИЕ
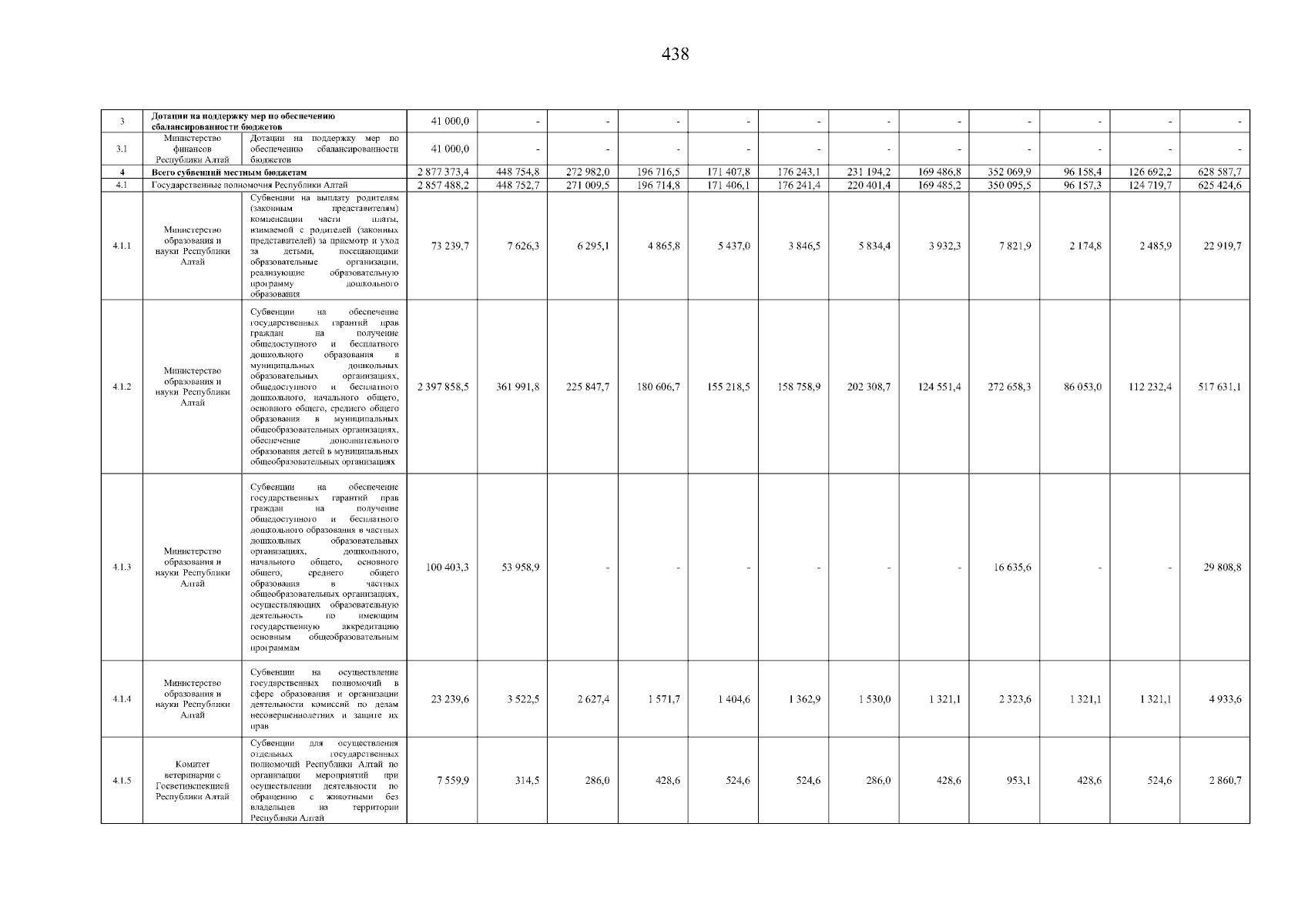
Закон Республики Алтай от 22.11.2023 № 84-РЗ
"О внесении изменений в Закон Республики Алтай "О республиканском бюджете Республики Алтай на 2023 год и на плановый период 2024 и 2025 годов"
Номер опубликования: 0400202311230001
Дата опубликования: 23.11.2023
Страница №438 из 466:
Увеличить