Официальное опубликование правовых актов
ОФИЦИАЛЬНОЕ ОПУБЛИКОВАНИЕ
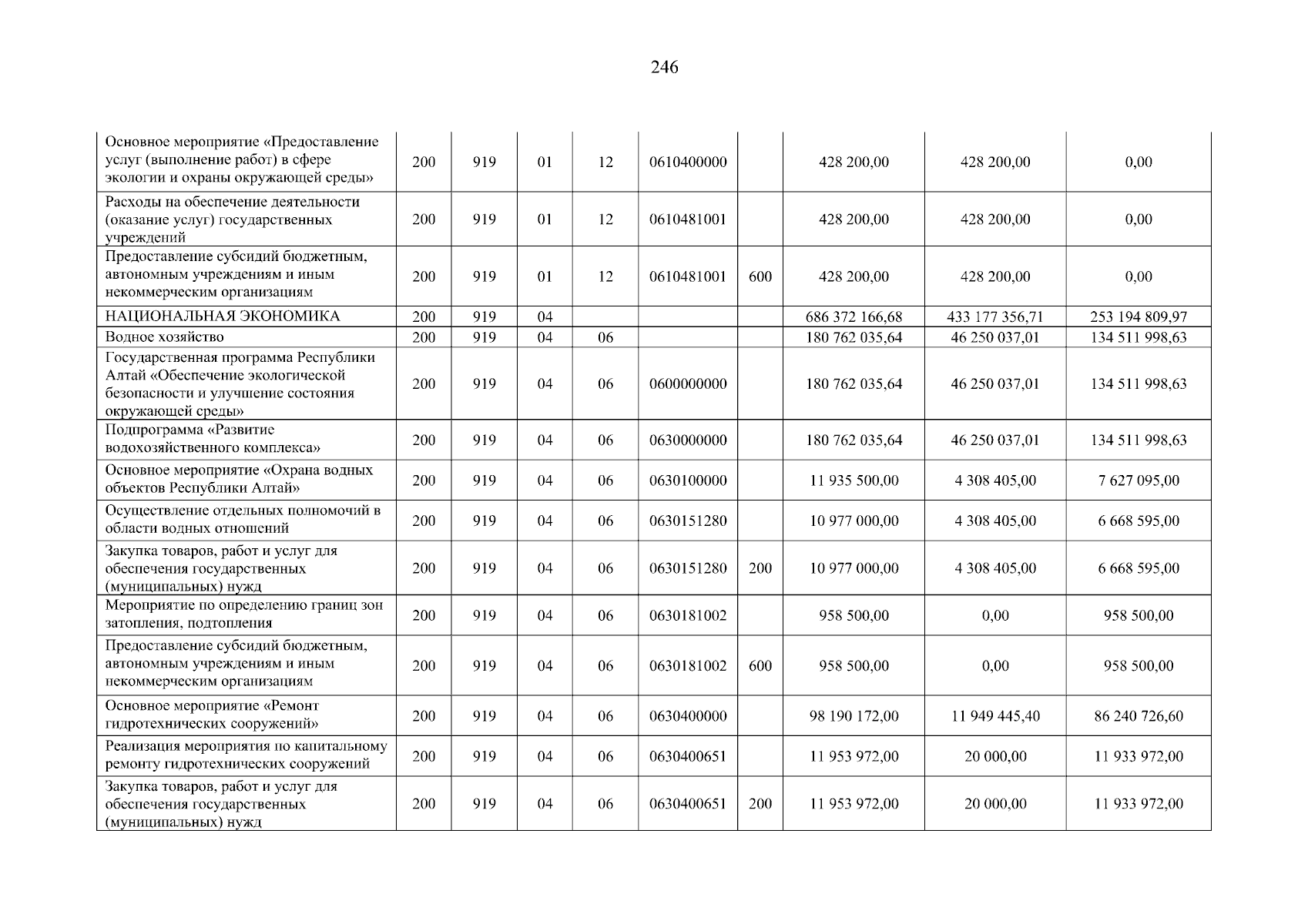
Постановление Правительства Республики Алтай от 20.11.2023 № 438
"Об утверждении отчета об исполнении республиканского бюджета Республики Алтай за девять месяцев 2023 года"
Номер опубликования: 0400202311200004
Дата опубликования: 20.11.2023
Страница №246 из 331:
Увеличить